Winger Eckart Theorem

The Winger-Eckart theorem is a fundamental result in the field of quantum mechanics and group theory, particularly in the context of molecular and atomic physics. It provides a way to simplify the calculation of matrix elements of tensor operators between different states.

In quantum mechanics, especially in the study of atoms and molecules, one often needs to compute the matrix elements of tensor operators. These are operators that can transform under symmetry operations in specific ways, such as electric dipole or magnetic dipole operators in atomic transitions.

The Winger-Eckart theorem states that the matrix elements of a tensor operator between different quantum states can be factored into a product of a "reduced matrix element" (which depends only on the tensor operator and not on the specific states) and a "Clebsch-Gordan coefficient" (which depends on the angular momentum quantum numbers of the states involved).

An observable V is called a vector operator if its three components Vx, Vy and Vz satisfy the following commutation relation

[ Jj, V_k] = iℏ E_jkLV_L ; jkL = x,y,z ....i

As usual we define the creation and annihilation operator as

V± = Vx ± iVy, J± = Jx ± iJy ....ii

Winger Eckart theorem deals with the relations between the matrix elements of J and V

[ Jx, V± ] = [ Jx, Vx ± iVy]

= [ Jx, Vx] ± i [ Jx, Vy]

= 0 ± i (iℏ)Vz using i

= ∓ ℏVz

[ Jy, V± ] = [ Jy, Vx ± iVy]

= [ Jy, Vx] ± i [ Jy, Vy]

= - i (iℏ)Vz ± i x 0

= i ℏVz

[ Jz, V± ] = [ Jz, Vx ± iVy]

= [ Jz, Vx] ± i [ Jz, Vy]

= iℏVy ∓ ℏVx

= ± ( Vx ± iVy)

= ± ℏV±

and [ J±, V± ]= [ Jx ± iJy, Vx ± iVy]

= [ Jx, Vx ] ± i [ Jx, Vy] ± i [ [ Jy, Vx] ± i [ [ Jy, Vy]

= 0 ± i (iℏVz)± i(- iℏVz) ± 0

= ∓ ℏVz ± ℏVz = 0

Thus we know

[ J+, V+] = 0

or, J+ V+ = V+J+

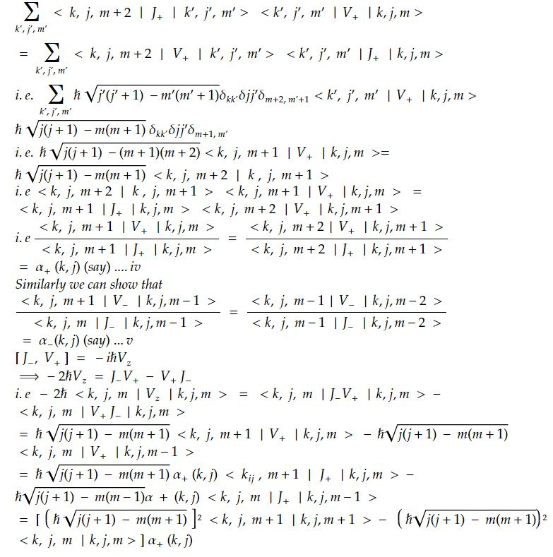
i.e < k, j, m+1 l J+ V+ l K, j, m> = < k, j, m+1 l V+ J+ l K, j, m>

⟹ < k, j, m ∣ V+ ∣ k, j, m > = < k, j, m+1 ∣ V+ ∣ k, j, m+1 >

= < k, j, m+1 ∣ V+ ∣ k, j, m+1 >

= < k, j, m+2 ∣ V+ ∣ k, j, m+2 > ........iii

Again we have

J+ V+ = V+ J+

i.e < k, j, m+2 ∣ J+ V+ l K, j, m> = < k, j, m+2 l V+ J+ l K, j, m>

Inserting 1 = Σ l K', j', m'> < K', j', m' l between J+ and V+ we get

We get

comparing equations vi and vii we get

From equation iv and v

From above conclusion all the matrix elements of ∇ are proportional to those of angular momentum J inside 𝛼 (k,j). This is called Wigner Eckart Theorem.

Applications:

  • The theorem greatly simplifies calculations in spectroscopy, quantum chemistry, and atomic physics by reducing the problem to finding the reduced matrix elements and using known values of Clebsch-Gordan coefficients.

  • It is particularly useful in the analysis of electric and magnetic transitions in atoms and molecules.

    This note is a part of the Physics Repository