Moseley's law

"Moseley's Law" typically refers to one of two scientific principles, named after the English physicist Henry Moseley.

  1. Moseley's Law in X-ray Spectroscopy: In the context of X-ray spectroscopy, Moseley's Law describes the relationship between the wavelength of X-rays emitted by different chemical elements and their atomic numbers. Moseley's experiments showed that the square root of the frequency of the emitted X-rays is directly proportional to the atomic number of the element. This law helped refine the understanding of the structure of the atom and contributed to the development of the modern periodic table.

  2. Moseley's Law in the Valence Shell: Moseley's Law also applies to the concept of the effective nuclear charge experienced by electrons in an atom's outer shell. It states that the effective nuclear charge (Zeff) experienced by an electron in the outer shell of an atom increases with the atomic number (Z). This principle helps explain trends in the periodic table, such as ionization energy and atomic radius.

These laws are fundamental in understanding atomic structure and the periodic table.

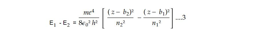
The origin of characteristic X ray spectra is due to transition of e from innermost part of atom which can be explained by Bohr's theory.

According to Bohr's theory the energy of an e revolving in the orbit with principle quantum number is given by

Similarly energy of e revolving in the orbit with principal n_2 is

Considering screening affect, we have to replace z by (z-b) where b is screening constant. So the energy difference between two orbits of e with z = z- b can be written as

For heavy element z is large b_1 = b_2 = b ...4

Thus the frequency of spectral line corresponds to transition of e between two orbital state is given by

For K_𝛼 line, n_1 = 2, n_2 = 1

On comparing equation 6 with equation 2 we can say that Moseley's law follow from origin of X ray.

This note is a part of the Physics Repository.