Relativistic Hamiltonian for charged particle in external electromagnetic field

The relativistic Hamiltonian for a charged particle moving in an external electromagnetic field is derived from the Dirac equation, which is the relativistic quantum mechanical equation describing the behaviour of such particles. This Hamiltonian accounts for the relativistic effects on the particle's motion when subjected to electromagnetic forces.

The Hamiltonian operator described above can be used to formulate the Schrödinger equation or the Dirac equation, depending on whether non-relativistic or relativistic treatments are required. The Dirac equation is the fully relativistic quantum mechanical equation that accounts for relativistic effects and spin of the particle.

The relativistic Hamiltonian is crucial in understanding the behaviour of charged particles, such as electrons, in external electromagnetic fields. It plays a fundamental role in quantum electrodynamics (QED) and quantum field theory, where it describes the interactions of charged particles with electromagnetic fields and is essential for understanding phenomena like atomic structure, scattering processes, and particle interactions at high energies.

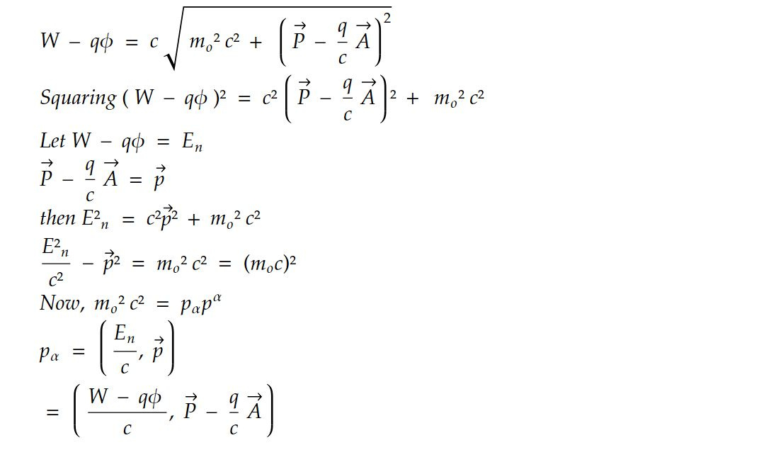
The Hamiltonian of a particle is

where P vector = generalized momentum

The generalized momentum is

mVi = particle momentum

Squaring both sides

Substituting 2 in 1

This is the required Hamiltonian and is the total energy w.

This note is a part of the Physics Repository.