Addition of two spins

We consider a system of two spin that half particle only with spin degree of freedom.

Let the particles be independent to each other. They do not interact with each other.

Let S_1 and S_2 be the spin operator of particles 1 and 2 respectively. The particles do not interacts with each other so

These four operators S_1²,S_2², S_1z, S_2z constitute complete set of commuting operator in four dimensional spin space. Then common eigen kets are l ++> both are in spin up state.

l +, -> -> particle 1 in up state

particle 2 in down state

l -, +> -> particle 1 in down state

particle 2 in up state

l -, -> -> both particles in spin down state

These state can be written in single form lE_1, E_2> .

E_1 = ± for particle 1

E_2 = ± for particle 2

These four different kets constitute basis in the four dimensional spin state.

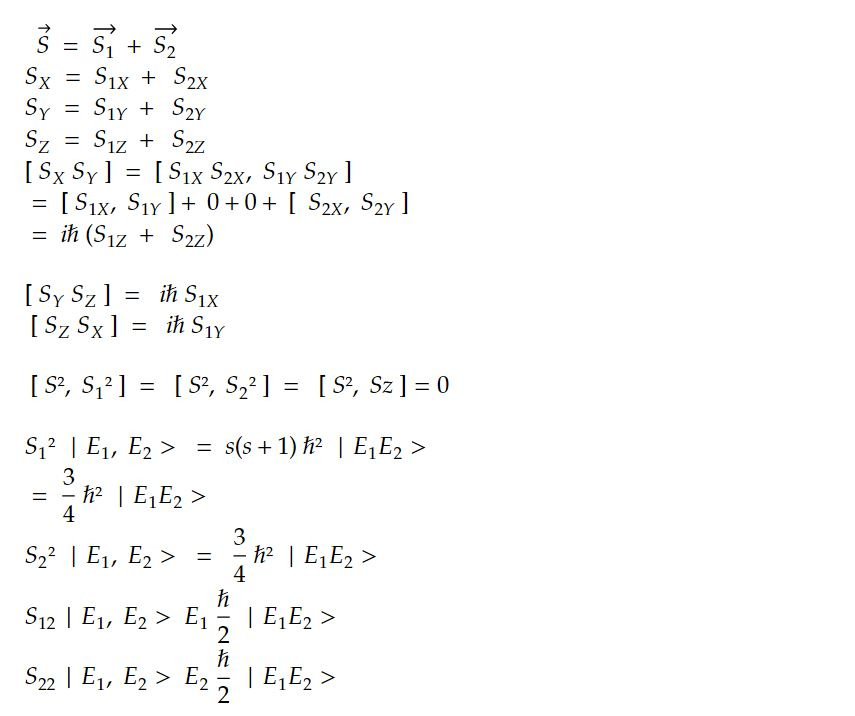
We define total spin S of the whole system as

Total angular momentum operator of the system of two spin half particles

S = S_1 + S_2

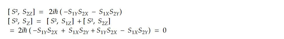
We know that S² commutes with S_1², S_2², S_z

Since the particles are independent

So S² and S_1z do not commute each other. Similarly it can be shown that

Thus the operator S²_1, S²_2 and S_z mutually commute with each other. Let's define the simultaneous eigen kets of S²_1, S²_2, S² and S_z as l SM> such that

S² l S M > = ℏ² S (S +1) l S M>

Note that ℏ² S( S + 1) is the eigen value of operator

The set { l S M> of simultaneous eigen kets of S²_1, S²_2, S² and S_z constitutes a new basis in four dimensional space.

We have the old basis kets l + + >. l + - >. l - + >, l - ->. Matrix form of Sz with respect to old basis.

The matrix is diagonal so diagonal elements are eigen values of Sz

The corresponding eigen vectors are

Now we write down the matrix from S² with respect to old basis

This note is a part of the Physics Repository.