Precession of an electron in magnetic field

We consider an electron which has only spin degree of freedom. The electron has spin. The electron is negatively charged particle. So it has magnetic moment 𝜇_s due to spin. The relation between them is given by

When magnetic field B is applied, the interaction energy of electron with B is given by

corresponding to Hamiltonian operator is

Here s is the spin operator S(Sx, Sy, Sz). From Schrodinger equation, we have

We choose the magnetic field B along z direction

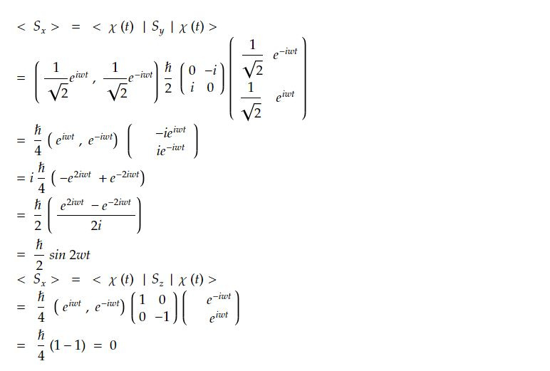
Suppose that the particle is initially in the eigen state of Sx with the eigen value ℏ/2 i.e

This expression shows that the expectation value of Sx​ oscillates sinusoidally with time, with a frequency given by the Larmor frequency. This oscillation corresponds to the precession of the electron's spin around the direction of the magnetic field.

The value of <Sx>, <Sy> change periodically with time period T = 2𝜋/2w, 2w is the precessional.

At t= 0, <Sx> = ℏ/2 -> α_x

<Sy> = 0

<Sz> = 0

At t = T/4

<Sx> = 0

<Sy> =ℏ/2 = α_y

<Sz> = 0

At t= T/2

<Sx> = -ℏ/2 -> 𝛽x

<Sy> = 0

<Sz> = 0

At t= 3T/4

<Sx> = 0

<Sy> = -ℏ/2 -> 𝛽y

<Sz> = 0

At t= T

<Sx> = ℏ/2 -> α_x

<Sy> = 0

<Sz> = 0

Geometrical Interpretation

The spin vector rotates about x axis describing a cone and this cone rotates (precesses) around z axis. This precession takes place with angular frequency 2w. So the average of < Sx> and < Sy> varies periodically. If we carry out measurement of Sz, we obtain either ℏ/2 or - ℏ/2 . These two values occur with equal probabilities. So average value of Sz would be zero.

he significance of understanding the precession of an electron's spin in a magnetic field, as represented by the expectation values ⟨Sx​⟩, ⟨Sy​⟩, and ⟨Sz​⟩, lies in several key areas of physics and technology:

  1. Quantum Mechanics Foundations: The precession of an electron's spin in a magnetic field is a fundamental phenomenon that demonstrates the quantum mechanical behaviour of particles with intrinsic angular momentum (spin). It showcases the non-commutativity of spin operators and the effects of external fields on quantum systems.

  2. Quantum Information Processing: In quantum computing and quantum information processing, the manipulation and control of quantum states, including the spin states of electrons, are crucial. The precession of spin states in magnetic fields forms the basis for qubit operations, such as spin rotations, which are fundamental to quantum algorithms and quantum error correction.

  3. Quantum Sensing and Metrology: Precession-based techniques are utilized in quantum sensing devices such as atomic magnetometers and quantum gyroscopes. These devices exploit the precise measurement of precession frequencies of electron spins in magnetic fields for applications ranging from navigation to medical imaging.

  4. Spintronics: Spintronics, which utilizes the spin of electrons for information processing and storage, relies on an understanding of spin dynamics in magnetic fields. The ability to control and manipulate spin precession is essential for developing spin-based electronic devices, such as spin transistors and spin-based memory elements.

  5. Quantum Technologies: The precession of electron spins is central to various quantum technologies, including nuclear magnetic resonance (NMR), electron spin resonance (ESR), and magnetic resonance imaging (MRI). These techniques exploit the interaction between spins and magnetic fields to probe the structure and dynamics of materials, molecules, and biological systems.

  6. Fundamental Physics: Spin precession experiments provide insights into the behavior of quantum systems under external perturbations. They contribute to our understanding of phenomena such as spin-orbit coupling, the Zeeman effect, and magnetic resonance phenomena, which have applications across physics, chemistry, and materials science.

Overall, the significance of studying the precession of an electron's spin in a magnetic field, as characterized by the expectation values ⟨Sx​⟩, ⟨Sy​⟩, and ⟨Sz​⟩, spans from foundational quantum mechanics principles to advanced quantum technologies, impacting a wide range of scientific and technological domains.

This note is a part of the Physics Repository.