Thomas-Fermi method

The Thomas-Fermi method is an approximate quantum mechanical method used to describe the behaviour of a many-electron system, typically in atoms and solids. It was developed independently by Llewellyn H. Thomas and Enrico Fermi in the 1920s. The Thomas-Fermi method provides a semi-classical approach to solving the SchrΓΆdinger equation for many-electron systems, and it serves as an important precursor to more sophisticated quantum mechanical techniques.

Here are the key features and concepts of the Thomas-Fermi method:

  1. Electron Density: The central concept of the Thomas-Fermi method is the electron density, which represents the probability density of finding an electron at a particular position in space. In the Thomas-Fermi model, the electron density is the central quantity of interest.

  2. Kinetic Energy Density: The method focuses on the kinetic energy density of the electrons, which is related to their motion. The kinetic energy density is expressed in terms of the electron density and its spatial gradients.

  3. Exchange-Correlation Energy: The Thomas-Fermi method incorporates an approximate description of the electron-electron interactions through an exchange-correlation energy term. This term attempts to account for the quantum mechanical exchange and correlation effects, which are essential in electron-electron interactions.

  4. Local Approximation: The Thomas-Fermi method is a local approximation because it assumes that the exchange-correlation energy and the kinetic energy density depend only on the local electron density at each point in space. This simplifies the mathematical treatment.

  5. Energy Functional: The method aims to find the electron density that minimizes the total energy functional, which includes the kinetic energy, electron-electron interaction energy, and external potentials (e.g., from the nucleus in atoms or lattice in solids).

  6. Self-Consistency: The Thomas-Fermi method is typically applied iteratively to find a self-consistent electron density. The electron density is adjusted until it satisfies the self-consistency conditions, and the resulting electron density is used to compute the system's total energy.

  7. Applications: The Thomas-Fermi method is most often used for qualitative understanding and estimation of various properties of electrons in atoms and solids. It can provide insights into electron distributions, atomic and ionic radii, ionization potentials, and other properties.

  8. Limitations: The Thomas-Fermi method is a simplified, approximate approach and is known to have limitations, especially for systems with strong electron-electron correlations and low atomic numbers. It does not provide precise quantitative results compared to more advanced quantum mechanical methods like Hartree-Fock or Density Functional Theory (DFT).

The Thomas-Fermi method is historically significant as it laid the groundwork for the development of more accurate and sophisticated quantum mechanical models, particularly DFT. While it has been largely superseded by DFT for many practical applications, it still serves as an essential historical milestone in the understanding of electron behaviour in atoms and solids.

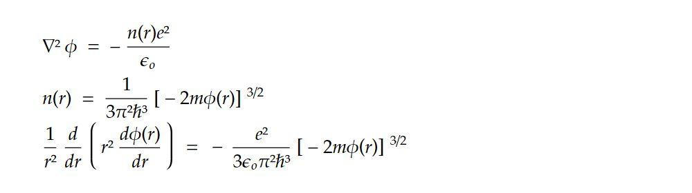
Thomas fermi equation

πœ™(r) is the potential energy of electron in the atom.

πœ™ = - zeΒ² / 4πœ‹πœ–_or

πœ™(r) = 1/ 4πœ‹πœ–_or total charge / r x (-e)

πœ™(r) r = 1/ 4πœ‹πœ–_o total charge

The field distribution in the normal state of the atom is determined by the central symmetric solution πœ™(r) of the equation that satisfies the following boundary condition for r-> 0 linear to the nucleus the field is due to only positively charged nucleus. So

πœ™(r) = - zeΒ² / 4πœ‹πœ–_or

while r -> ∞ (outside the room)

πœ™(r) r -> 0

Since πœ™(r) = - 1/ 4πœ‹πœ–_o total charge / r (-e)

rπœ™(r) = - 1/ 4πœ‹πœ–_o total charge (-e)

Since the atom is electrically neutral total charge is zero. So rπœ™(r) = 0. Now we have introduce new variable x such that r = xbz^-1/3 where b is constant and is

And a function X(x) in place of πœ™(r) as

As r -> 0, πœ™(r) = - - 1/ 4πœ‹πœ–_o zeΒ²/r

So as x-> 0, X(x) = 1

Also we know

As r-> ∞

πœ™(r) r -> 0

So as x -> ∞, X(x) = 0

Then the above equation turns into new form

Numerical method of this differential equation gives X(x). For small x, it can be represented by X(x) = 1 - 1.588x + 4/3 x^3/2

Now, - πœ™(r) = 1/ 4πœ‹πœ–_o zeΒ²/ r X(x)

= 1/ 4πœ‹πœ–_o zeΒ²/ r ( 1 - 1.59 x)

ignoring the term containing higher power of x

The first term is potential energy due to positively charged nucleus and 2nd term represents the potential energy of the electron due to all other electrons.

If we plot D(r) = n(r)4πœ‹rΒ² versus r

This note is a part of the Physics Repository.