Distribution in frequency and angle of energy radiated by an accelerated charge

The distribution in frequency and angle of energy radiated by an accelerated charge is a topic within classical electrodynamics. When a charged particle undergoes acceleration, it emits electromagnetic radiation in the form of electromagnetic waves, typically in the form of light or other forms of electromagnetic radiation. This process is described by Larmor's formula, which provides insights into the power radiated by an accelerated charge.

Now, let's discuss the distribution in frequency and angle of the radiated energy:

  1. Distribution in Frequency: The frequency (f) of the radiated energy is related to the acceleration of the charge. Larmor's formula doesn't explicitly provide the frequency distribution, but it indirectly suggests that the radiated power is concentrated at higher frequencies when the charge undergoes rapid acceleration. In other words, the more rapidly the charge accelerates, the higher the frequency of the emitted radiation. The radiated energy spans a continuous spectrum of frequencies.

  2. Distribution in Angle: The emitted radiation is typically non-isotropic, meaning it is not uniformly distributed in all directions. Instead, it is concentrated in the direction of the particle's acceleration. The intensity is greatest along the direction of acceleration and decreases as you move away from that direction. The distribution in angle is described by the electromagnetic radiation's angular pattern, which can vary depending on the specific motion of the charged particle.

In more complex scenarios involving accelerated charges, you would need to analyze the detailed motion and acceleration of the charge to understand the exact frequency and angular distribution of the radiated energy. This process often involves solutions to Maxwell's equations for the electromagnetic field in the vicinity of the accelerating charge and can become quite intricate for highly relativistic or non-uniform motions.

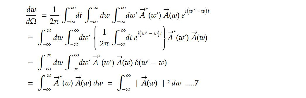
For a relativistic motion, the radiated energy in speed over the wide range of frequencies which can be estimated by using properties of fourier integral. The general form of the power radiated per unit solid angle is

The electric field due to the accelerated charge

The total energy radiated per unit solid angle is time integral of 1.

i.e.

The integral over the time can be reduced to the integral over frequency spectrum. Let A(w) be the FT of A(t) then

An inverse F.T is

With these equation 4 becomes

Since the negative frequency has no physical meaning integration in 7 is taken only over positive frequencies.

If A(t) is real, then from 5 we can see that

vector A(-w) = vector A*(w)

Thus the energy radiated per unit solid angle per unit frequency range.

The subscript ret means the integral is evaluated at 't' such that

t = t' + R(t')/c

Since the observation point is assumed to be far away from the region of space where the according occurs, the unit vector n is sensibly constant in time. Furthermore the distance R(t') can be approximated as

where x is the distance of observation point P from origin 0 and r(t') is position of the particle relative to '0'.

The term e^iwx/c is independent of time so its modulus goes to unity.

Integrating by parts

This gives distribution in frequency and angle of energy radiated by an accelerated charge.

This note is a part of the Physics Repository.