Covariant form of equation of motion of a charged particle moving under a influence of electromagnetic field

The covariant form of the equation of motion for a charged particle moving under the influence of an electromagnetic field is described by the Lorentz force equation. This equation accounts for the relativistic effects on the particle's motion and is written in four-vector notation.

Suppose that a charged particle is moving under the influence of electromagnetic field. The equation of motion is

To get the time part of equation, consider relativistic energy

E = mc²

Taking x component

Ex = moš›¾c² ...2

Differentiate with respect to t

The rate of change of energy i.e first power

P = dPx/dt

Since velocity and moment can be defined as

Now time part is

This is the time part of equation of motion.

The Lorentz force equation is a fundamental equation in relativistic electrodynamics and is essential for describing the motion of charged particles, such as electrons, in electric and magnetic fields within the framework of special relativity.

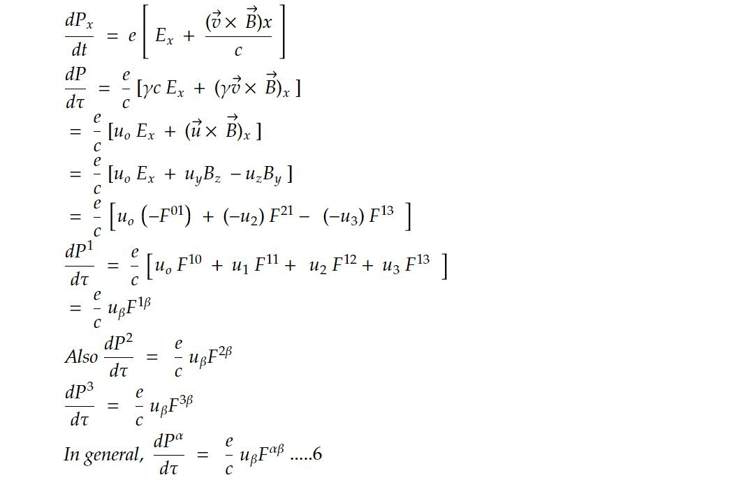
Also to find space part of equation of motion

Taking x component of equation 1, we get

This equation describes the covariant form of the equation of motion for a charged particle in an electromagnetic field, taking into account relativistic effects. It is used to calculate how the four-momentum of the particle changes as it moves through the electromagnetic field due to the Lorentz force.

This note is a part of the Physics Repository.