The Coherent states

The eigen states of annihilation operator are known as coherent states.

The normalized ket ∣α⟩ represents a quantum state in quantum mechanics. It's often used to describe a coherent state, which is a special type of quantum state associated with the harmonic oscillator system. Coherent states have unique properties that resemble classical behaviour in certain aspects.

Let a l 𝛼 > = 𝛼 l 𝛼>; l 𝛼> is known as coherent state. 𝛼 is the eigen value.

Also we know H l un> = E l un >

The set { l un >} constitute basis in the state space.

l 𝛼> = ∑ Cn l un >

a l 𝛼> = ∑ Cn a l un >

From 1 and 2

Comparing the coefficients of each ket on both sides.

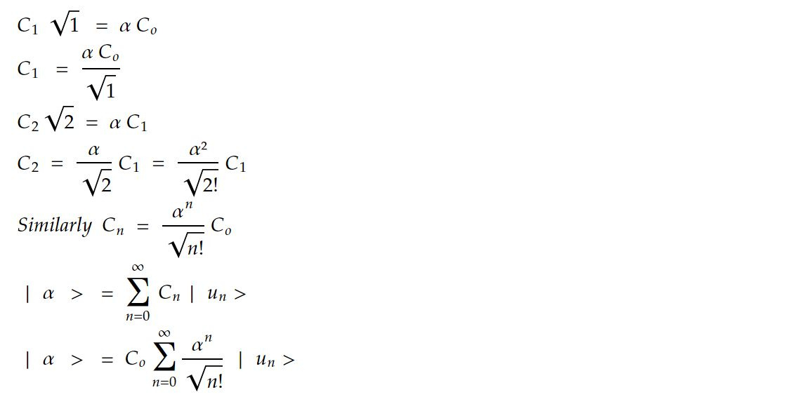
This is the expression for coherent state.

Square of the norm ( l 𝛼 >, l 𝛼 >) = < 𝛼 l 𝛼 >

For the ket l 𝛼 > to be normalized

Thus the normalized ket l 𝛼 > is given by

Where:

  • n⟩ represents the number state, which is an energy eigenstate of the harmonic oscillator.

  • α is a complex number, and ∣α∣² gives the average number of quanta in the coherent state.

This formula represents a superposition of number states, where each term corresponds to a different energy eigenstate of the harmonic oscillator. The exponential factor ensures that the state is properly normalized (i.e., its squared magnitude adds up to 1).

The coherent state ∣α⟩ has interesting properties, such as having a well-defined classical-like trajectory in phase space and exhibiting minimal uncertainty in both position and momentum measurements. It's a quantum state that comes closest to behaving classically and has been used in various applications, including lasers and quantum optics.

In summary, the normalized ket ∣α⟩ represents a coherent state in quantum mechanics. It's a quantum state associated with the harmonic oscillator that has properties that resemble classical behaviour in certain ways.

This note is a part of the Physics Repository.