Harmonic oscillator problem by matrix method

  1. Matrix Representation: Represent the Hamiltonian operator as a matrix in a finite-dimensional basis. You need to choose an appropriate basis, often involving position or momentum states, and discretize the problem. This will give you a matrix representation of the Hamiltonian.

  2. Diagonalization: Diagonalize the matrix by finding its eigenvalues and eigenvectors. These eigenvalues correspond to the energy levels of the harmonic oscillator, and the eigenvectors correspond to the wavefunctions.

  3. Solving the Eigenvalue Problem: The diagonalization involves solving the eigenvalue problem: ��=��=, where �ψ is the eigenvector (wavefunction) and �E is the eigenvalue (energy level).

  4. Matrix Diagonalization Techniques: Depending on the size and complexity of the matrix, you can use various techniques for diagonalization, such as the power method, Jacobi method, or specialized algorithms for sparse matrices.

  5. Results: Once you've diagonalized the matrix, you will have the eigenvalues (energy levels) and eigenvectors (wavefunctions) of the harmonic oscillator. The eigenvalues will be quantized and equidistant, reflecting the quantization of energy levels in the harmonic oscillator system.

Let Nl un> = n l un>

H l un> = ℏw ( n + 1/2) l un>

We have the eigen kets of H l uo>, l u1>, l u3>,...

< um l un > = δ_mn

The set { l un>} can be considered as the set of basis sets.

Matrix form of N

Matrix element < um l N l un > = n < um l un > = nδ_m

Matrix form of H

Matrix element < um l H l un > = ℏw ( n + 1/2) < um l un> = ℏw ( n + 1/2) δ_mn

Since the matrix form of H is in diagonal form, the eigen kets are

With eigen values ℏw/2 , 3ℏw/2, 5ℏw/2 .......respestively.

with eigen value ℏw/2

Note

in coordinate representation

with eigen value 3ℏw/2 in coordinate representation.

Matrix form of a

Matrix element a_mn = < um l a l un >

m = 0,1,2,3...

n=0

Matrix form of a+

Matrix element

Matrix form of x,

Wave function in coordinate representation using operator formalism.

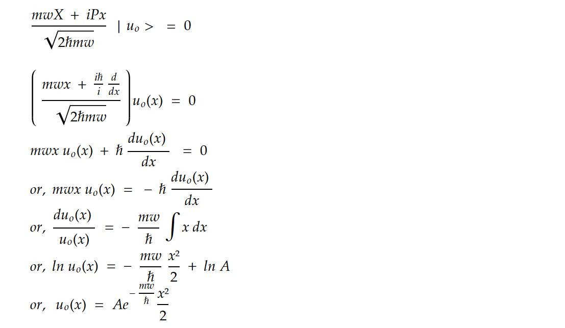
We define the vaccum state by

a l uo > = 0

In coordinate representation

A is normalizing constant

To find un(x), we introduce

We use operator relations

Keep in mind that while the matrix method is a valuable approach, it's typically more convenient to solve the harmonic oscillator problem using differential equation methods, such as solving the Schrödinger equation directly, as these methods provide a more direct and intuitive understanding of the problem's physical aspects. However, exploring different solution methods can deepen your understanding of quantum mechanics and its mathematical foundations.

This note is a part of the Physics Repository.