Cold Emission

The emission of electron out of the metal surface under the action of electric field is known as cold emission.

The electrons in a potential well with a depth of l V l have energy ranging from 0 to the fermi level Ef (the highest energy level) in the Sommerfield model of metal. The electron cannot come out of the metal without supplying energy from outside. The minimum amount of energy needed to remove an electron from the metal is the work function Φ, if l V l is the total energy of electron when it comes out of the metal from the fermi level then

l V l = E_f + Φ

However, if the constant electric field if applied the potential at the surface slopes down as shown in the figure and then the electron near the fermi level can tunnel through the potential barrier resulting the cold emission of electrons from the metal. If E is the electric field applied.

F = eE

eE = - dV/dx

F= - dV/ dX

or, ∫ dv = eE∫dx

V(x) = -eEx + c

V(x=0) = Φ + E_f

Φ + E_f = c

V(x) = -eEx + Φ + E_f

When x = 1, V(x) = E_f

E_f = - eEl + Φ+ E_f

l = Φ/ eE

We have,

The emission of electron takes from level near to the Fermi level. We can write

E E_f

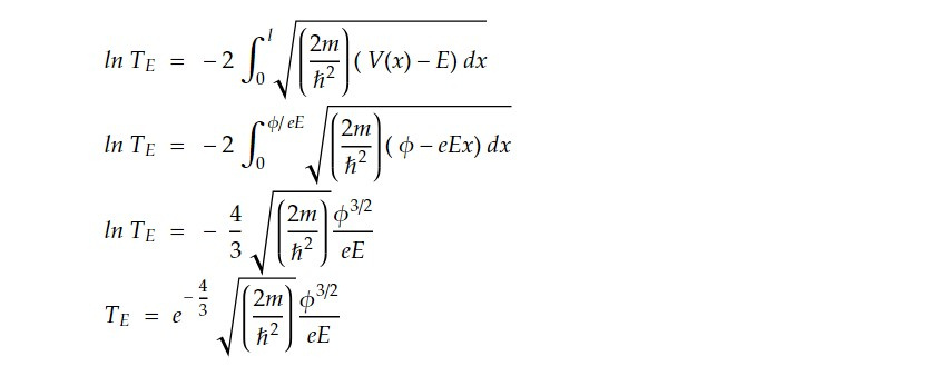
It represents the tunneling time (T_E) associated with the tunneling process in field emission from a metal surface under a strong electric field (E).

The tunnelling time T_E is derived from the exponential term in the Fowler-Nordheim formula for the tunnelling emission current density (J), which is given by:

J = A * E² * exp[-B / E]

where A and B are constants related to the properties of the material and the emission setup.

The tunnelling time T_E is proportional to the reciprocal of the exponential term in the Fowler-Nordheim formula. Therefore, as the electric field strength E increases, the tunnelling time decreases, implying that electrons are more likely to tunnel through the barrier and contribute to the emission current at higher electric fields.

In summary, T_E is the tunnelling time associated with the tunneling process in field emission, and it is related to the exponential term in the Fowler-Nordheim formula for the tunnelling emission current density. It characterizes the time it takes for electrons to tunnel through the potential barrier and be emitted from a metal surface under the influence of a strong electric field.


This note is a part of the Physics Repository.