Time independent schrodinger wave equation

The time-independent Schrodinger wave equation is a fundamental equation in quantum mechanics that describes the behaviour of a quantum system in terms of its energy and spatial dependence. It is a partial differential equation that allows us to calculate the stationary states of a quantum system, where the probability distributions of the particles do not change with time.

Mathematically, the time-independent Schrödinger wave equation is given by:

Hψ(r) = Eψ(r)

where:

  • H is the Hamiltonian operator, representing the total energy of the quantum system.

  • ψ(r) is the wave function of the system, representing the state of the system at position r.

  • E is the energy eigenvalue associated with the wave function ψ(r).

The Hamiltonian operator consists of the kinetic energy operator (T) and the potential energy operator (V):

H = T + V

The kinetic energy operator is related to the momentum operator (p) and the mass of the particle (m):

The potential energy operator, V, represents the potential energy of the particles in the system as a function of their positions.

The time-independent Schrödinger wave equation is an eigenvalue equation, meaning that it provides a set of allowed energy eigenvalues (E) and their corresponding eigenstates (ψ(r)) for the quantum system. The square of the absolute value of the wave function, |ψ(r)|^2, represents the probability density of finding a particle at position r in the quantum system.

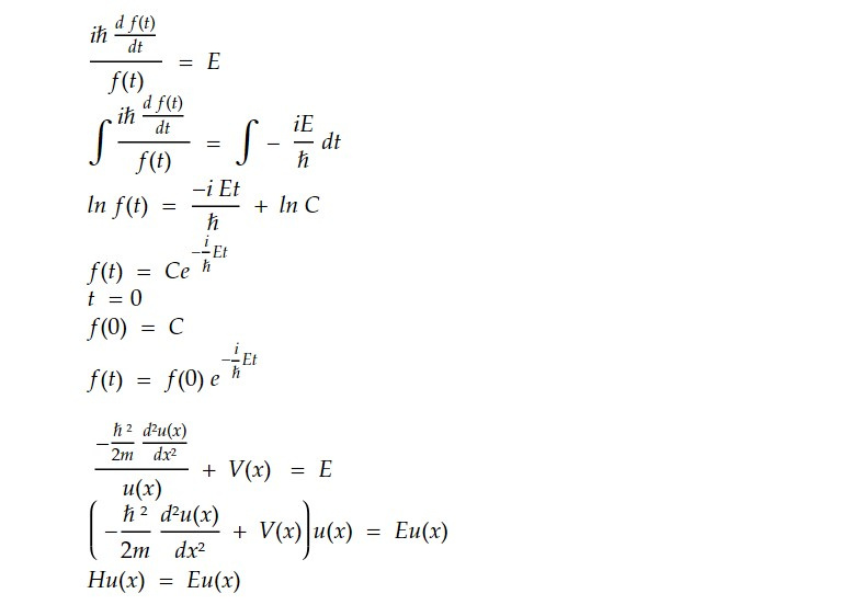
The eigen state of Hamiltonian operator which doesn't depend upon time explicitly are known as stationary states. We have Shrodinger equation

iℏ ∂𝜓 (x, t) / ∂t = H 𝜓 (x, t)

iℏ ∂𝜓 (x, t) / ∂t = - ℏ²/2m ∂²𝜓 (x, t)/ ∂x² + V(x) 𝜓 (x, t)

𝜓 (x, t) = 𝜓 (x)𝜓 (t)

The equation can be solved by the method of separation of variable as

𝜓 (x, t) = u(x)f(t)

Substituting the proposed solution

𝜓 (x, t) = u(x)f(t) in the equation

Dividing throughout by u(x)f(t)

Left hand side depends only upon time and Right hand side depends only upon x. Each side must be equal to the same constant. This constant has the dimension of energy.

This is time independent Schrodinger energy eigen value equation.

Solving the time-independent Schrödinger equation allows us to understand the energy levels and stationary states of quantum systems, such as atoms, molecules, and other quantum mechanical systems, which form the basis for many quantum phenomena and applications in physics and chemistry.

Total wave function

If we include f(0) in the normalizing constant of u(x)

This is the stationary state. Hence, in the context of the time-independent Schrödinger wave equation, a "stationary state" refers to a specific quantum state of a quantum system where the wave function does not change with time. In other words, the probability distribution of finding a particle in the system remains constant over time. Since the time-dependent part of the wave function is represented by the complex exponential e^(-iEt/ħ), the probability distribution |ψ(r, t)|² remains unchanged as time progresses. This is what makes the state "stationary."

Each solution of the time-independent Schrodinger wave equation corresponds to a specific stationary state of the quantum system, with its unique energy eigenvalue E and spatial wave function ψ(r). The set of stationary states forms a complete basis for the system, and any wave function of the system at any time can be expressed as a superposition (linear combination) of these stationary states. The time evolution of the wave function can then be determined using the time-dependent Schrödinger equation, which introduces the time-dependent behaviour of the system.

This note is a part of the Physics Repository.