Debye Model of Specific heat capacity

According to the Einstein model, at low temperatures, the heat capacity falls off exponentially, or e-hw/KBT. However, the experimental curve demonstrates that specific heat drops at low temperatures more gradually than in the zone of exponential decline. Einstein's heat capacity actually decreases more quickly than the exponential curve.

Debye model:

The Debye model is a theoretical model used to describe the heat capacity of solids at low temperatures. It was developed by Peter Debye in 1912 and provides a framework for understanding the temperature dependence of the specific heat capacity of crystalline materials.

In the Debye model, the solid is treated as a collection of atoms or molecules vibrating harmonically around their equilibrium positions. The model assumes that the vibrations occur at discrete frequencies, which form a distribution known as the Debye density of states.

If there are N number of atoms vibrating in 3D modes of vibrations. Debye assumes the same Debye frequency for transverse and longitudinal modes of vibration. The number of modes of vibration in between frequency 𝛾 and 𝛾 + d𝛾 is

According to Planck's theory of quantum harmonic oscillator, the energy of each of Quantum oscillator.

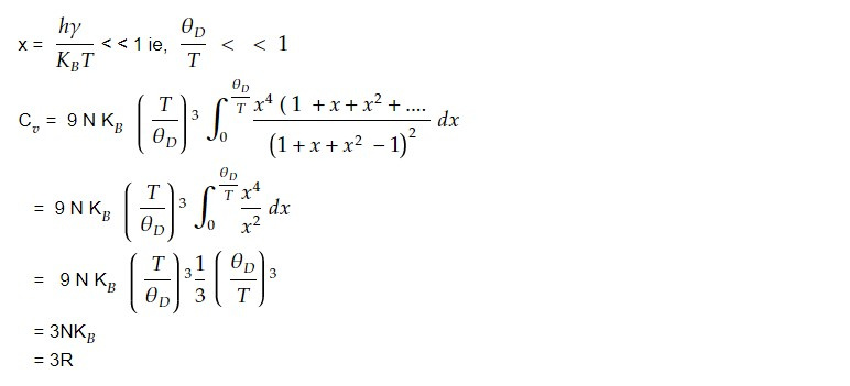
1. At high temperature region:

2. At low temperature region:

The Debye model provides a good approximation for the specific heat capacity of solids at low temperatures, where the vibrational modes dominate the heat transfer. However, it does not account for all the intricacies of the specific heat behaviour, such as lattice defects, anharmonicity, and electronic contributions, which become more significant at higher temperatures.

Drawbacks of Debye Model:

While the Debye model is a useful approximation for understanding the specific heat capacity of solids at low temperatures, it has several limitations or drawbacks that should be considered:

  1. Oversimplification of vibrational modes: The Debye model assumes that the vibrational modes in a solid are fully described by a single characteristic Debye temperature and a continuous distribution of frequencies. However, in real materials, the vibrational modes can be more complex and can exhibit anharmonicity and dispersion relationships that are not captured by the model.

  2. Neglect of anharmonicity: The Debye model assumes harmonic vibrations, where the atoms or molecules in the solid oscillate around their equilibrium positions as simple harmonic oscillators. However, at higher temperatures or in more complex materials, anharmonic effects become significant, leading to deviations from the harmonic behavior assumed by the Debye model.

  3. Ignoring electronic contributions: The Debye model focuses solely on the vibrational modes of the lattice and does not account for electronic contributions to the specific heat capacity. In some materials, especially metals and semiconductors, electronic excitations and electronic specific heat can make significant contributions to the overall heat capacity, which are not captured by the Debye model.

  4. Discrepancies at high temperatures: The Debye model becomes less accurate at high temperatures where contributions from higher energy vibrational modes, anharmonic effects, and electronic contributions become more pronounced. As a result, the Debye model tends to underestimate the specific heat capacity at higher temperatures.

  5. Neglect of lattice defects and impurities: The Debye model assumes a perfect crystal lattice and does not account for the presence of lattice defects, impurities, or grain boundaries, which can significantly affect the specific heat behaviour of real materials.

Despite these limitations, the Debye model remains a valuable tool for understanding the specific heat capacity of solids at low temperatures and provides a reasonable approximation in many cases. However, for more accurate predictions and descriptions of specific heat behaviour, more advanced models and approaches, such as the Einstein model or density functional theory, are often employed.

This note is a part of the Physics Repository.