Theory of Plasma oscillation

If the electron in a plasma are displaced from a uniform background of ions, electric field will be built up in such a direction as to restore the neutrality of the plasma by pulling the electrons in their original position. Because of their inertia, the electrons will overshoot and oscillate around their equilibrium positions with a characteristics frequency known as plasma frequency.

In figure, the open rectangles represents typical elements of ions, fluid and the shaded rectangle represents displaced elements of electrons fluid. The resulting charge causes a spatially periodic field which tends to restore the electrons to their neutral position.

To derive the plasma frequency, the following assumptions are made.

1. The electron are at zero temperature

2. There is no collision

3. The ions are stationary

4. The plasma is infinite in extent

5. The electron motions occur only in x direction

The equation of continuity is

The Maxwell equation that doesn't involve B is the poisson equation

Equation 3 becomes

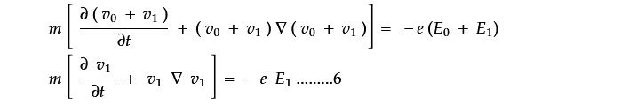
To solve above equations, linearisation method is used which means the amplitude of oscillation is small and higher powers of amplitude factors can be neglected. Now separating the variables into two parts

1. The equilibrium part indicated by a subscript 0

2. The perturbed part indicated by a subscript 1

Therefore,

In neutral uniform plasma at equilibrium and at rest

Now equation 1 becomes

In linear theory v1. ∇v1 represents the quadratic term. So equation 6 becomes

Also equation 2 becomes

Since oscillating quantities are assumed to behave as sinusoidally as

Using equation 10 in equation 7,8 and 9 we get

m (-iw)v1 = -eE1

v1 = eE1/imw ........11

Also equation 8 becomes,

which is the required plasma frequency.

This frequency depend only on the plasma density is one of the fundamental parameters of a plasma.

This note is a part of the Physics Repository.