Atomic Scattering factor

The ratio of the radiation amplitude scattered by an atom's real electron distribution to the radiation amplitude scattered by a single electron localized as a point is known as the atomic scattering factor. It is based on the quantity and distribution of electrons within an atom, as well as the wavelength and scattering angle of a radiation wave.

The atomic scattering factor is used in X-ray crystallography to determine the structure of molecules and materials. By measuring the intensities and angles of the scattered X-rays, scientists can calculate the electron density of the material and determine the positions of the atoms within the crystal.

Different atoms have different atomic scattering factors, and the scattering factors vary depending on the energy of the X-rays or neutrons used. The atomic scattering factor can be calculated theoretically using quantum mechanics, or it can be measured experimentally by scattering X-rays or neutrons off of known materials with known atomic structures.

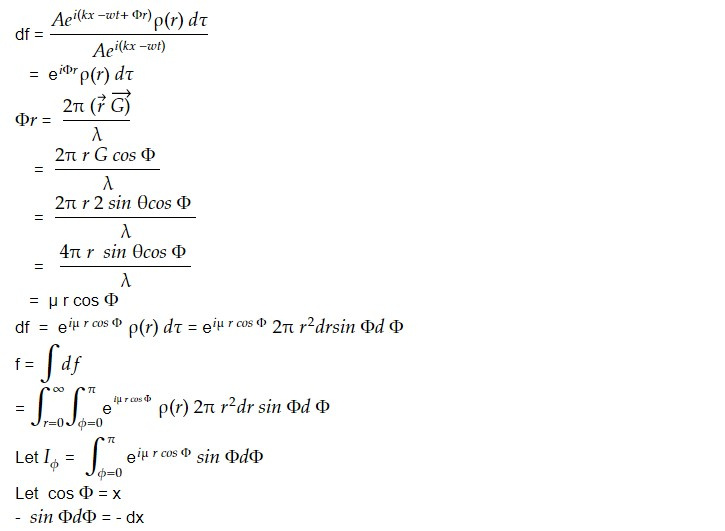
Let us consider a charge ρ(r)d𝜏 in a small volume d𝜏 at position (r, Φ). ρ(r) defines charge density at position vector r and ρ(r)d𝜏 represents probability of finding the electron in a volume element d𝜏 at vector r. The phase difference between the radiation scattered by an element of charge ρ(r)d𝜏 at (r, Φ) and radiation that would be scattered by same amount of charge located at the centre of atom is given by

Let amplitude of wave scattered from the point e at A in direction of vector k' is

where x is the distance coordinate along k' and k = 2π/λ and w is angular frequency of the wave. The amplitude of scattered wave from volume element d𝜏 in same direction will be proportional to amount of charge ρ(r)d𝜏 in the volume element d𝜏 and phase difference Φr and is given by

Ratio of amplitude is

The atomic scattering factor of an electron can be used to determine the composition of a material and to identify unknown substances. By measuring the intensities and angles of the scattered X-rays or neutrons, scientists can determine the atomic scattering factors of the different elements in a material and use this information to identify the composition of the material.

Overall, the atomic scattering factor of an electron is a key parameter in X-ray crystallography and is essential for understanding the structure and properties of materials at the atomic level.

This note is a part of the Physics Repository.